On of the solutions to the problem
Figure 1: One of the solutions to the problem.
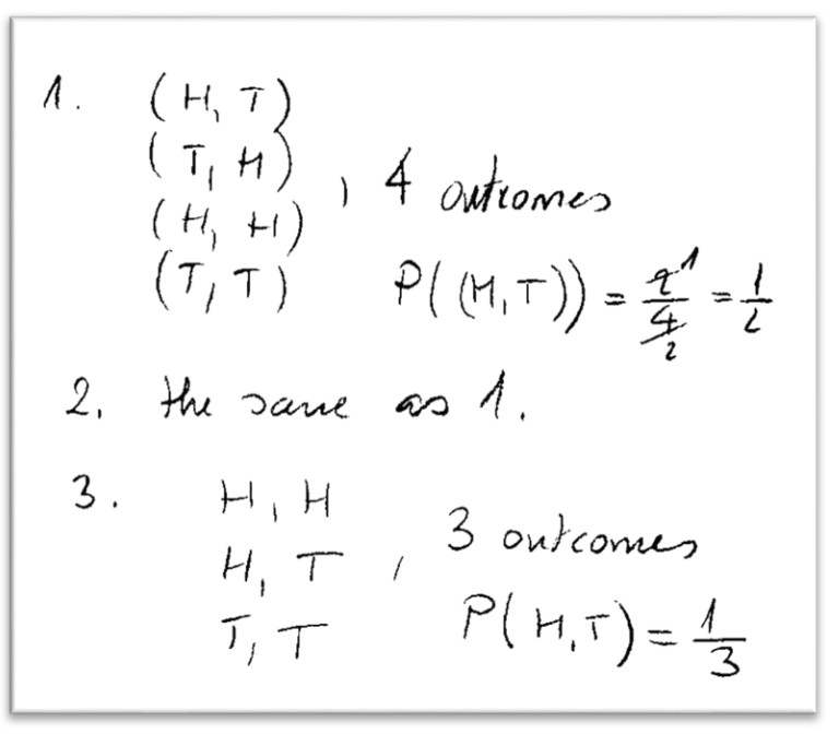
1. (H,T) (T,H) (H,H) (T,T) 4 outcomes P((M,T))=2 over 4 crossed out to 1 over 2 = 1/2 2. the same as 1 3. H, H. H,T. T,T =3 outcomes P(H,T)=1 over 3









